topcable.co.kr
Home
Login
Join
COMPANY
Àλ縻
¿À½Ã´Â±æ
BUSINESS
CABLE
ÄÉÀ̺í Çϳ׽º
ÄÉÀ̺í ÁÖ¹®»ý»ê
TRADE
PRODUCT
LAPP (¶øÄÉÀ̺í)
ÇØ¿Ü ÄÉÀ̺í
±¹³»Àü¼±
ÄÉÀ̺í Çϳ׽º
»ê¾÷¿ë Ä¿³ØÅÍ
ÄÉÀÌºí ±×·£µå
ÄÉÀ̺í ÁÖ¹®»ý»ê
Ư¾àÁ¡ ¸ðÁý
Àü±âÂ÷ ÃæÀüÄÉÀ̺í
CONTACT
À̸ÞÀϹ®ÀÇ
CUSTOMER
±â¼úÀÚ·á
Áú¹®°ú´äº¯
±¹³»Àü¼±, ÇØ¿ÜÄÉÀ̺í, ¾Æ¸ÓµåÄÉÀ̺í
ºü¸¥ ´ëÀÀ°ú ±â¼ú¼ºñ½º Á¦°ø¿¡ ÃÖ¼±À» ´ÙÇϰڽÀ´Ï´Ù
µ¶ÀÏ ±â¼ú·Â, °íÀ¯¿¬¼º ÄÉÀ̺í, Ä¿³ØÅÍ
Power Cable, Flexible cable, Moving cable, Data cable
º¹ÇÕÄÉÀ̺í, Ư¼öÄÉÀ̺í, ¾Æ¸ÓµåÄÉÀ̺í Á¦ÀÛ»ý»ê
Best Your Business Partner
CUSTOMER
CUSTOMER
¡å
±â¼úÀÚ·á
Áú¹®°ú´äº¯
CUSTOMER
032-545-6936
am 10:00 ~ pm 06:00
¿Â¶óÀι®ÀÇ
Home
Customer
LME½Ã¼¼&±â¼úÀÚ·á
LME½Ã¼¼&±â¼úÀÚ·á
CUSTOMER
Á¦¸ñ
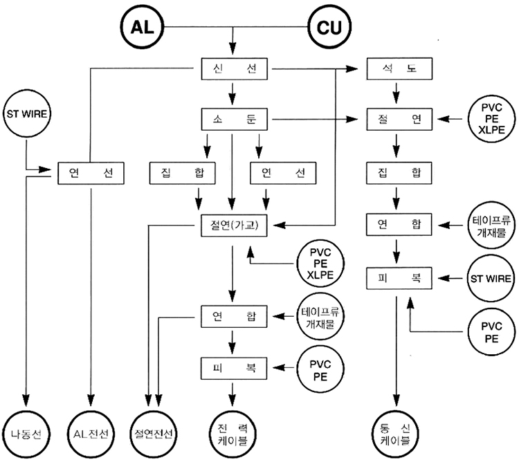
¢À ÄÉÀ̺í Á¦Á¶ °øÁ¤µµ
ÀÛ¼ºÀÏÀÚ
2019-08-08
Àü¼±•ÄÉÀ̺í Á¦Á¶ °øÁ¤µµ
÷ºÎÆÄÀÏ